Medical Research Consultancy Stadio Australia
We help you to make best of yourself

Statistical methods

Statistical methods appropriate in research are described with examples. Topics covered include the choice of appropriate averages and measures of dispersion to summarize data sets, and the choice of tests of significance, including t-tests and a one- and a two-way ANOVA plus post-tests for normally distributed (Gaussian) data and their non-parametric equivalents. Techniques for transforming non-normally distributed data to more Gaussian distributions are discussed. Concepts of statistical power, errors and the use of these in determining the optimal size of experiments are considered. Statistical aspects of linear and non-linear regression are discussed, including tests for goodness-of-fit to the chosen model and methods for comparing fitted lines and curves.
  1. Managing Director
  2. Managing Director
  3. Managing Director
  4. Managing Director
  5. Managing Director
  6. Managing Director
Analysis methods by study type
Cohort studies
  • Cohort Studies
  • Cohort life tables
  • Comparison of two sets of survival probabilities
  • The person-years method
  • Period-cohort analysis
Invention studies
  • Analysis by intention-to-treat
  • Graphical analysis
  • Comparing means
  • Triangular test

Case-control studies
  • McNemar’s test and Mantel-Haenszel approach for matched studies
  • Conditional logistic regression
Analysis methods by data type
Modelling quantitative outcome variables

A statistical model has, at its root, a mathematical representation of the relationship between one variable, called the outcome or y variable, and one or more explanatory or x variable(s). Many models have the simple form: y=systematic component + random error, where,  the systematic component, but not the random error, is a mathematical function of the explanatory variables. Analysis can be used
  • ANOVA
  • Linear regression
  • Nonlinear regression
  • General linear models

Modelling follow-up data

  • Basic functions of survival time
  • Estimating the hazard function
  • Probability models
  • Proportional hazards regression models
  • The Cox proportional hazards model
  • The Weibull proportional hazards model
  • Poisson regression
  • Pooled logistic regression
Modelling binary data

  • Logistic regression
  • Multiple logistic regression
  • Conditional logistic regression
  • Proportional odds model
  • Generalised estimating equations (GEE)

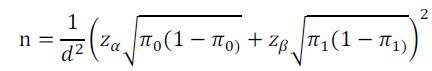
Sample size determination
Whenever an epidemiological study is being planned, the question always arises of how many subjects to include, that is, what sample size to use. This is clearly a vital question and would constitute a crucial part of any research protocol. Too large a sample means wasted resources. On the other hand, too small a sample leads to lack of precision in the results. Below are some general formulas used to calculate sample sizes.

when testing a difference between means

​​
when testing a relative risk
when testing a proportion

​​
when testing case-control studies